-
[Anomaly Detection] SVM, SVDDLearn/머신러닝 2022. 8. 11. 17:46
# One-Class Support Vector Machine (One SVM)
- 정상 / 불량 관측치를 부분짓는 서포트 벡터 머신 알고리즘을 구축하는 방법론
- 정상 데이터를 고차원 공간으로 보내서 ①불량 데이터와 구분되고 ②원점에서 멀리 떨어지게 하는게 목표

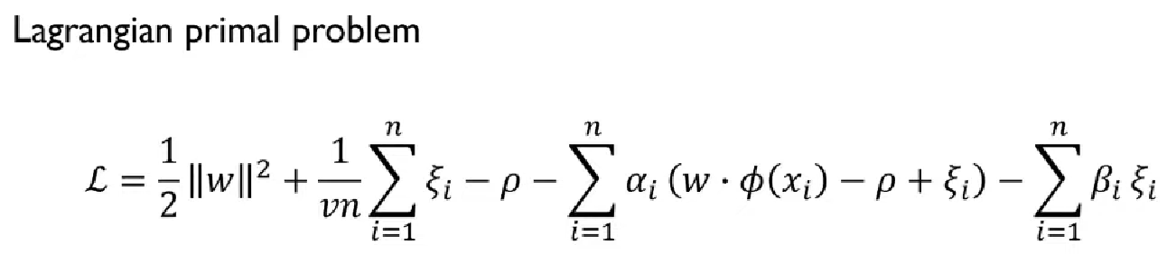
w: parameter regularization으로 특정 범위에서만 변하게 함 (민감하게 변하지 않게; Robust)
ρ: 원점으로부터의 거리. 멀면 좋은데 목적식을 최소화해야 하므로 -를 붙임.
ν: nu라고 읽음. SVM의 C를 (1/νn)으로 표현.
ξ: hyperplane과 원점 사이에 있는 점들의 hyperplane까지의 거리. (최소화)
Φ(.): mapping function (original data → feature space)
# 최적화
SVM과 마찬가지로 제약식을 목적식으로 올려주기 위해 Lagrangian primal 형태로 바꿔줌.
α, β는 Lagrangian parameter

w, ξ, ρ 각각에 대해 미분

w를 대입해서 α에 대한 식으로 정리하면 정리 가능한데 일단 패스 (이해안됨 ㅎㅎ)
정리하면 이렇게 됨.

# 해석
정상 관측치를 "안"으로 표현했을 때,

# ν (nu)
- 0 ≤ ν ≤ 1
- 최소 νn개의 support vector가 존재. n은 바꿀 수 없으므로 ν를 조절해서 support vector 수를 조절
- 예: n=5000, ν=0.1
> 5000개의 전체 정상데이터에서 적어도 500개 이상의 support vector 존재
> 이 중 패널티가 부여되는 support vector는 최대 500개
- 결론적으로 ν를 조정해서 경계를 정한다. (작을수록 전체가 포함)
솔직히 잘 모르겠다. 다음에 다시 보자.
# SVDD
- Support Vector Data Description
- 데이터를 feature space로 trainsform하여 mapping
- 정상 관측치를 감싸는 가장 작은 hypersphere 구축 (중심 a, 반지름 R)

구 내부면 정상, 바깥이면 비정상으로 간주 - ξ(크사이)를 최소화해야하지만, 구가 너무 크면 overfitting
# Formulation
목적식: 정상데이터를 최대한 컴팩트하게 아우르는 구를 찾기
단, 에러를 허용함

제약식: feature space의 점(Φ)과 중심(a)과의 거리 반지름(R)보다 작아야 한다. (단 에러는 허용; ξ)
# 최적화
푸는 방식은 역시 Lagrangian primal problem 형태로 푼다.

똑같이 미지수에 대해 미분해서 대입한다. (a, R, ξ)

마찬가지로 대입하고 kernel function 어쩌고저쩌고 풀면 결국은.. 솔직히 잘 모르겠으니 나중에 또 보자.

# 해석

C가 크다 → ξ를 허용하지 않음 → 밖에 나가는 데이터를 허용하지 않음 (다 포함하려 함)
sigma가 작음 → 분산이 작음 → overfitting

'Learn > 머신러닝' 카테고리의 다른 글
정규화 모델 (Ridge, LASSO, Elastic Net) (0) 2022.09.03 [Anomaly Detection] PCA, Autoencoder, GAN (0) 2022.08.12 [Anomaly Detection] Isolation Forest (0) 2022.08.11 [Anomaly Detection] Local Outlier Factor (LOF) (0) 2022.08.10 [Anomaly Detection] 개요, 확률 분포 기반 (0) 2022.08.10